實驗目的
鹽酸阿霉素誘導慢性心衰(CHF)大鼠模型。
實驗動物
SPF級SD大鼠180~220 g,雄性。將大鼠隨機分為空白對照組(NC)、模型組(MC)、陽性對照組(Captopril, Ctp)。
模型建立方法
SD大鼠適應性喂養1周后進行造模給藥,除空白對照組外,其余大鼠分別于第1、3、5周尾靜脈注射鹽酸阿霉素溶液(2mg/kg) ,于第2、4、6周尾靜脈注
射鹽酸阿霉素溶液(3mg/kg) ,每周1次,6周后每只大鼠累積用量15mg/kg。同時,空白對照組尾靜脈注射等量生理鹽水,每周1次。以造模第6周LVEF≤
45%作為心力衰竭的指標,將符合條件的大鼠隨機分為模型組、陽性對照組。于造模成功后開始給藥,陽性對照組灌胃給予5.0mg/kg/d卡托普利,空白
對照組、模型組給予等量生理鹽水,連續給藥4周。
檢測指標
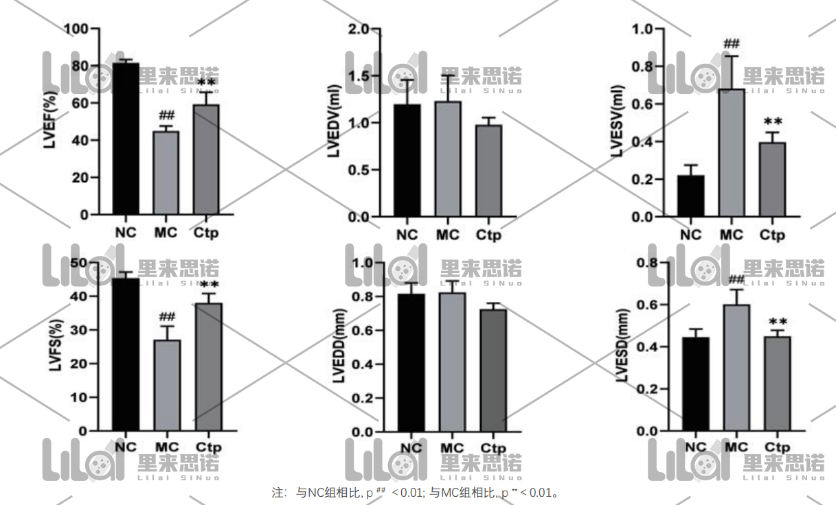
心功能檢測:檢測左室射血分數(LVEF)、左室短軸縮短率(LVFS)、左室收縮末期容積(LVESV)、左室舒張末期容積(LVEDV)、左室收縮期末期
直徑(LVESD)和左室舒張期末期直徑( LVEDD),至少檢測3次連續的心動周期,計算平均值。
HE染色:觀察心臟病理變化。
Masson染色:觀察心臟纖維化,計算膠原(藍色著色)容積分數(Collagen volumefraction, CVF),CVF(%)=(膠原纖維著色面積/切片總面積)x100%。
實驗結果
心功能檢測:實驗結束后進行心臟超聲,檢測各組大鼠的心功能。結果發現:與NC組相比,MC組大鼠左室射血分數(LVEF)和左室短軸縮短率
(LVFS)顯著降低;而Ctp能顯著提高心衰大鼠LVEF和LVFS,改善心衰大鼠心功能(p<0.01)。


· HE染色:NC組大鼠心肌細胞排列整齊、致密、結構清晰,未見炎性壞死。MC組大鼠心肌細胞排列紊亂,細胞間隙增大、形態模糊且不規則,伴有炎癥
細胞浸潤。而Ctp能明顯改善心衰大鼠細胞形態結構、減少炎癥細胞浸潤。

· Masson染色:與NC組相比,MC組大鼠膠原容積分數(CVF)顯著升高,心肌纖維化明顯增加(藍色增多),Ctp能減少心衰大鼠心肌纖維化(p<0.01)。
